0086 0755 21380136
0086 0755 21380136
sales@megarevo.com.cn
2024-12-10
Industry information
Megarevo
Introduction
As the global energy transition accelerates and energy storage technologies evolve, the Levelized Cost of Electricity (LCOE) and Levelized Cost of Storage (LCOS) have become essential metrics for evaluating the economic viability of energy projects. This article delves into the definitions, calculation methods, and applications of these two key metrics, while analyzing the primary factors influencing energy storage costs.
1. Overview of LCOE and LCOS
1.1 LCOE: Levelized Cost of Electricity
LCOE measures the average present cost of electricity generation over the lifecycle of a project. It is calculated by dividing the total lifecycle costs of a project by the total energy generated. The formula is:

Where:
· I0: initial investment of the project
· VR: residual value of fixed assets
· An: operating cost in year n
· Dn: depreciation in year n
· Pn: interest in year n
· Yn: energy generation in year n
· i: discount rate
· n: lifespan of the power station, measured in years
LCOE is widely used across both traditional (coal, hydro, gas) and renewable energy sectors to compare the cost-effectiveness of different generation technologies.
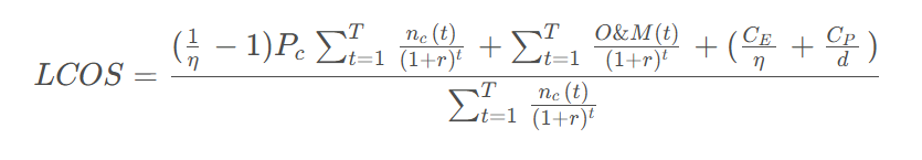
1.2 LCOS: Levelized Cost of Storage
LCOS focuses on energy storage systems, considering all technical and economic parameters affecting discharge lifecycle costs. It calculates the discounted cost per unit of discharged energy:

Where:
· η: Efficiency of the energy storage system
· Pc: Rated power of the energy storage system
· T: Project lifecycle (typically measured in years)
· nc(t): Number of cycles in year t
· r: Discount rate (typically annualized)
· O&M(t): Operation and maintenance costs in year t, comprising both fixed and variable costs over the time interval t, expressed in $/kWh (including periodic replacement of any system components)
· CE: Energy storage cost of the system
· Cₚ: Power storage cost of the system
· d: Lifespan of the energy storage system
LCOS represents the breakeven cost of the storage system, making it an essential metric for assessing storage project cost-effectiveness.
2. Key Differences Between LCOE and LCOS
Application Scope:
LCOE applies to power generation projects and is often compared to electricity tariffs to assess project economics.
LCOS is tailored for energy storage projects, incorporating factors like charge-discharge cycles and efficiency.
3. Breakdown of Electrochemical Energy Storage Costs
The lifecycle cost of electrochemical energy storage systems includes the following components:
3.1 Investment Costs
Investment costs encompass design, hardware, software, engineering, procurement, and construction expenses, such as:
· Battery Costs: Investment in battery cells.
· Supporting Equipment: Costs for inverters, transformers, etc.
· Construction Costs: Installation and setup expenses.
3.2 Operating and Maintenance (O&M) Costs
O&M costs cover routine upkeep, labor, insurance, and spare parts, including:
· Labor Costs: Salaries for technical and management personnel.
· Insurance: Coverage for equipment and personnel.
· Maintenance: Regular inspection, repair, and servicing.
· Component Replacement: Costs of replacing aging or faulty components.
3.3 Energy Loss Costs
Electricity Loss Costs refer to the total expenses incurred by the energy storage system over its entire lifecycle for charging from the grid or other energy sources and discharging. This includes charging costs and energy losses during discharge.
3.4 Financial Costs
Financial costs include loan interest, funding costs, and other capital expenses related to the project.
4. Strategies to Reduce LCOS
Reducing LCOS for electrochemical storage systems involves the following approaches:
· Lowering Initial Investment: Reducing battery and component costs through technological advancements and economies of scale.
· Enhancing Battery Cycle Life: Improving materials and technologies to extend battery lifespan.
· Improving Efficiency: Optimizing Battery Management Systems (BMS) to boost charge-discharge efficiency and minimize energy losses.
Currently, lithium-ion batteries offer the highest energy conversion efficiency among storage technologies. As advancements continue, their lifespan and cost-effectiveness are expected to improve further, driving the economic viability of energy storage projects.
Conclusion
LCOE and LCOS, as key metrics for evaluating the economic viability of energy or energy storage projects, play a crucial role in assessing a project's feasibility and competitiveness. Understanding their distinctions and applications enables stakeholders to make more informed decisions. By continuously optimizing the cost structure and technical performance of energy storage systems, LCOS can be effectively reduced, promoting the widespread adoption of electrochemical energy storage technologies and advancing the development of cleaner and more efficient energy systems.
Disclaimer
This article draws on information from publicly available and trusted sources. While every effort has been made to ensure the accuracy, completeness, and reliability of the content, no guarantees are made. Readers are advised to independently verify the information and assume responsibility for its application. Neither the author nor the publisher will be liable for any direct or indirect losses resulting from the use of this content.